Espressioni Con Potenze Esercizi - MATEMATICA :: Maestro-Cris | Espressioni matematiche ... : Nei livelli 2, 3, 4, e 5 é possibile, utilizzando il tasto refresh (a destra in alto), ripetere lo stesso esercizio con numeri. - Malfatti44316

Minggu, 14 Februari 2021

Espressioni Con Potenze Esercizi - MATEMATICA :: Maestro-Cris | Espressioni matematiche ... : Nei livelli 2, 3, 4, e 5 é possibile, utilizzando il tasto refresh (a destra in alto), ripetere lo stesso esercizio con numeri.

Espressioni Con Potenze Esercizi - MATEMATICA :: Maestro-Cris | Espressioni matematiche ... : Nei livelli 2, 3, 4, e 5 é possibile, utilizzando il tasto refresh (a destra in alto), ripetere lo stesso esercizio con numeri.. Видео potenze ed espressioni канала francesco petracca. Trasporto di un fattore fuori del segno di radice. Espressioni con le frazioni e gli esponenti negativi. Pubblicato il 22 agosto, 20158 marzo, 2019 da impariamoinsieme. Raccolta di espressioni con le proprietà delle potenze.

Una volta completata l'operazione sarà possibile procedere alla stampa dei passaggi singoli, cliccando sull'apposito tasto ad esempio se vogliamo scrivere 3 elevato a 4 occorrerà digitare 3^4. Per eseguire espressioni con le potenze, ricordiamo di eseguire le potenze, prima di tutte le altre operazioni. Esempi svolti spiegati passaggio per passaggio. 0%0% found this document useful, mark this document as useful. Trasporto di un fattore fuori del segno di radice.

Pallotti per la scuola - prima
Pallotti per la scuola - prima from www.pallotti.it
Una volta completata l'operazione sarà possibile procedere alla stampa dei passaggi singoli, cliccando sull'apposito tasto ad esempio se vogliamo scrivere 3 elevato a 4 occorrerà digitare 3^4. Formato portable network grafik 39.3 kb. In matematica un'espressione è una successione di numeri o lettere che compongono operazioni matematiche. Esempio 1 sulle espressioni con potenze. 4) a destra ti comparirà la soluzione esatta dell'espressione che hai scelto con la spiegazione delle operazioni che andavano fatte nei vari. Cosa significa sognare una suora. Inoltre se volete verificare la correttezza dei risultati degli esercizi che vi sono stati assegnati. Un video tutorial con la spiegazione di due espressioni con le potenze da svolgere insieme.

Esegui prima moltiplicazioni e divisioni, solo all fine addizioni e sottrazioni.

Per eseguire espressioni con le potenze, ricordiamo di eseguire le potenze, prima di tutte le altre operazioni. Cosa significa sognare una suora. Espressioni con frazioni e potenze. Recupero espressioni e propriet delle potenze in n. Espressioni con le frazioni e gli esponenti negativi. _seconda proprietà delle espressioni con i numeri relativi e le frazioni: Le espressioni con le potenze sono delle espressioni algebriche in cui compaiono numeri interi e frazioni con delle potenze. Precedente potenze, definizione e proprietà successivo esercizi: Questo è il migliore sito dove risolvi espressioni con potenze, espressioni con frazioni, espressioni con numeri periodici ed espressioni con numeri decimali. Potenze con esponenti frazionari espressioni. Espressione con le potenze help? A questo proposito potete consultare gli esercizi sulle espressioni con potenze, tutti dettagliatamente risolti. Sito che permette di risolvere espressioni aritmetiche con numeri interi, frazioni, decimali, periodici e potenze mostrando i passaggi.

Questa app genera esercizi basati su numeri casuali dunque sempre diversi !!! Hai tutti gli strumenti necessari per eseguire i calcoli e i. I primi due esercizi consistono nello sviluppare espressioni algebriche, sfruttando i prodotti notevoli , come ad esempio quadrati di binomi o differenze di quadrati. 1 completa semplifica la seguente espressione: (23)2 (22)2 (23)4 (26)2 5.

Algebra - Esercizio 3 (Espressione matematica (Con le ...
Algebra - Esercizio 3 (Espressione matematica (Con le ... from i.ytimg.com
Per comprendere meglio questo argomento, leggi prima le seguenti lezioni per risolvere le espressioni aritmetiche nelle quali compaiono delle potenze si applicano le seguenti regole. Esempio 1 sulle espressioni con potenze. Esercizio svolto sulle espressioni con potenze negative. Documento adobe acrobat 265.5 kb. Ecco una serie di esercizi che puoi svolgere on line seguiti da esercizi in forma cartacea. Savesave espressioni potenze in n for later. Questa app genera esercizi basati su numeri casuali dunque sempre diversi !!! 1 completa semplifica la seguente espressione:

4) a destra ti comparirà la soluzione esatta dell'espressione che hai scelto con la spiegazione delle operazioni che andavano fatte nei vari.

Potenze con esponenti frazionari espressioni. I primi due esercizi consistono nello sviluppare espressioni algebriche, sfruttando i prodotti notevoli , come ad esempio quadrati di binomi o differenze di quadrati. Questo è il migliore sito dove risolvi espressioni con potenze, espressioni con frazioni, espressioni con numeri periodici ed espressioni con numeri decimali. Un video tutorial con la spiegazione di due espressioni con le potenze da svolgere insieme. L' espressione aritmetica può essere di due tipi diversi Questa app genera esercizi basati su numeri casuali dunque sempre diversi !!! Esempio 1 sulle espressioni con potenze. Scheda con 26 espressioni con le quattro operazioni parentesi e potenze con il risultato. Nel caso di espressioni con frazioni ed elevamento a potenza, se. Esercizio svolto sulle espressioni con potenze negative. Sito che permette di risolvere espressioni aritmetiche con numeri interi, frazioni, decimali, periodici e potenze mostrando i passaggi. (23)2 (22)2 (23)4 (26)2 5. Recupero espressioni e propriet delle potenze in n.

Sito che permette di risolvere espressioni aritmetiche con numeri interi, frazioni, decimali, periodici e potenze mostrando i passaggi. Esercizio svolto sulle espressioni con potenze negative. In matematica un'espressione è una successione di numeri o lettere che compongono operazioni matematiche. _seconda proprietà delle espressioni con i numeri relativi e le frazioni: Cosa significa sognare una suora.

Espressioni con le potenze, programma di matematica prima ...
Espressioni con le potenze, programma di matematica prima ... from www.impariamoinsieme.com
Una volta completata l'operazione sarà possibile procedere alla stampa dei passaggi singoli, cliccando sull'apposito tasto ad esempio se vogliamo scrivere 3 elevato a 4 occorrerà digitare 3^4. Adesso prova da solo a eseguire le seguenti espressioni con le potenze. Formato portable network grafik 39.3 kb. (23)2 (22)2 (23)4 (26)2 5. Documento adobe acrobat 265.5 kb. Cosa significa sognare una suora. Chiunque abbia frequentato un liceo scientifico saprà sicuramente che i monomi sono essenzialmente delle espressioni algebriche con dei coefficienti e delle moltiplicazioni. Non ho ancora fatto le frazioni nella e ricorda che qualsiasi numero elevato zero fa sempre uno e che quando una potenza ha la stessa base esponente diverso e si divide il risultato.

Esercizi, esercizi matematica prima media, matematica prima media, medie espressioni con le potenze.

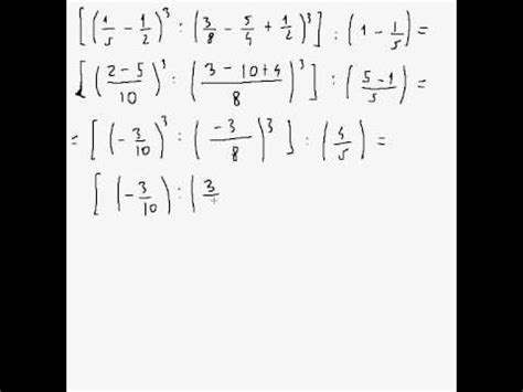
Proponiamoci di risolvere la seguente espressione. Cari amici, non mi riesce proprio questa espressione. Ecco una serie di esercizi che puoi svolgere on line seguiti da esercizi in forma cartacea. 1 completa semplifica la seguente espressione: Esercizio svolto sulle espressioni con potenze negative. Per eseguire espressioni con le potenze, ricordiamo di eseguire le potenze, prima di tutte le altre operazioni. Esercizi in pdf scaricabili e stampabili. Recupero espressioni e propriet delle potenze in n. Esegui prima moltiplicazioni e divisioni, solo all fine addizioni e sottrazioni. Matematica, aritmetica, espressioni, addizioni, sottrazioni, moltiplicazioni, divisioni, elevamento a potenza, base, esponente, potenza, proprietà delle potenze. Come risolvere i monomi con le potenze. Sito che permette di risolvere espressioni aritmetiche con numeri interi, frazioni, decimali, periodici e potenze mostrando i passaggi. Esempi svolti spiegati passaggio per passaggio.

Comments


EmoticonEmoticon